Analyse de flux Doppler

L'analyse Doppler calcule l'enveloppe de la forme d'onde de la vitesse du flux Doppler sur l'intervalle de temps défini par la ROI Doppler.

images/download/attachments/398655575/cvs_Ultrasound_DopplerFlow_doppler-version-1-modificationdate-1764754033044-api-v2.png

Nous supposons que le profil de vitesse est parabolique et que la forme d'onde de la vitesse d'écoulement Doppler fournit la valeur maximale (VM) de ce profil (c'est-à-dire la vitesse spatiale maximale). En réalité, l'analyse repose uniquement sur l'enveloppe de l'écoulement Doppler, car les données d'imagerie vidéo ne fournissent aucune information sur le profil de vitesse du vaisseau.

images/download/attachments/398655575/cvs_Ultrasound_DopplerFlow_profile-version-2-modificationdate-1764757716323-api-v2.png

Profil de vitesse dans un navire

Les valeurs suivantes sont calculées:

Moyenne positive: moyenne temporelle des valeurs positives de V.

Moyenne négative: moyenne temporelle des valeurs négatives de V.

Maximum: moyenne des valeurs maximales locales de V.

Min: moyenne des valeurs minimales locales de V.

Min positif: moyenne des valeurs minimales positives locales de V.

Ces moyennes sont calculées sur la région d’intérêt Doppler.

images/download/attachments/398655575/Mean_values-version-1-modificationdate-1764756821862-api-v2.png

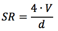
Dans FMD Studio, la vitesse est utilisée pour calculer le taux de cisaillement (SR). En supposant un profil de vitesse parabolique, le SR est calculé comme suit :

images/download/thumbnails/398655575/cvs_Ultrasound_DopplerFlow_equation-version-1-modificationdate-1764754033028-api-v2.png

où d représente le diamètre du vaisseau.

Deux résultats sont fournis:

Taux de cisaillement positif, calculé à partir de la vitesse moyenne positive.

Taux de cisaillement négatif, calculé à partir de la vitesse moyenne négative.