Analisi del flusso Doppler

L'analisi Doppler calcola l'inviluppo della forma d'onda della velocità Doppler durante un intervallo di tempo definito dalla ROI del Doppler.

images/download/attachments/398655575/cvs_Ultrasound_DopplerFlow_doppler-version-1-modificationdate-1764754033044-api-v2.png

Si ipotizza che il profilo di velocità sia parabolico e che la forma d'onda della velocità del flusso Doppler presenti il valore massimo (VM) del profilo di velocità (cioè la massima velocità spaziale). Infatti, l'analisi si basa unicamente sull'inviluppo del segnale Doppler poiché i dati delle immagini video non forniscono informazioni sul profilo di velocità del vaso.

images/download/attachments/398655575/cvs_Ultrasound_DopplerFlow_profile-version-2-modificationdate-1764757716323-api-v2.png

Profilo di Velocità del vaso

Vengono calcolati i seguenti valori:

Mean Pos: media temporale dei valori positivi di V.

Mean Neg: media temporale dei valori negativi di V.

Max: media dei valori massimi locali di V.

Min: media dei valori minimi locali di V.

Min Pos: media dei valori minimi positivi locali di V.

Le medie vengono calcolate sulla ROI Doppler.

images/download/attachments/398655575/Mean_values-version-1-modificationdate-1764756821862-api-v2.png


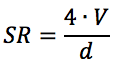
In FMD Studio, la velocità viene utilizzata per calcolare lo Shear Rate (SR). Ipotizzando un profilo di velocità parabolico, lo SR viene calcolata come:

images/download/thumbnails/398655575/cvs_Ultrasound_DopplerFlow_equation-version-1-modificationdate-1764754033028-api-v2.png

dove d è il diametro del vaso.

Vengono forniti due risultati:

Shear Rate Positivo, calcolata utilizzando la velocità media positiva.

Shear Rate Negativo, calcolata utilizzando la velocità media negativa.