Tableau des diamètres

La fenêtre d'analyse affiche les résultats et permet de supprimer les données aberrantes.



Tableau des diamètres

images/download/thumbnails/388694219/CVS_Carotid_CineloopReview_DiameterChart_EN-version-1-modificationdate-1761826930864-api-v2.png

Le graphique illustre l'évolution du diamètre. Les boutons situés en bas permettent de modifier le graphique et de supprimer les valeurs aberrantes.

Suppression des valeurs aberrantes

  • Cliquez sur le bouton « Découper » images/download/thumbnails/388694219/cvs_cut_button-version-1-modificationdate-1761826930884-api-v2.png . Le cycle cardiaque correspondant sera mis en surbrillance sur le graphique du diamètre.

  • Cliquez sur les cycles cardiaques à supprimer.

  • Une fois les valeurs aberrantes supprimées, les données du panneau « Résultats » seront automatiquement mises à jour.

Vous pouvez utiliser les boutons « Annuler » images/download/thumbnails/388694219/cvs_undo-version-1-modificationdate-1761826930914-api-v2.png et « Rétablir »images/download/thumbnails/388694219/cvs_redo-version-1-modificationdate-1761826930919-api-v2.png pour annuler et rétablir vos modifications. Le bouton « Rétablir » images/download/thumbnails/388694219/cvs_restore_button-version-1-modificationdate-1761826930891-api-v2.png annule toutes vos modifications et rétablit les données d'origine.

Cliquez sur le bouton Enregistrer images/download/thumbnails/388694219/cvs_save_button-version-1-modificationdate-1761826930894-api-v2.png dans la barre supérieure pour enregistrer les modifications apportées au document.

Graphique IMT

images/download/thumbnails/388694219/CVS_Carotid_CineloopReview_IMTChart-version-1-modificationdate-1761827141846-api-v2.png

Le graphique illustre l'évolution de l'IMT. Les boutons en haut permettent de modifier le graphique et de supprimer les valeurs aberrantes.

Suppression des valeurs aberrantes

  • Cliquez sur le bouton Couper images/download/thumbnails/388694219/cvs_cut_button-version-1-modificationdate-1761826930884-api-v2.png .

  • Dans le graphique IMT, cliquez sur l'une des deux extrémités de la plage à supprimer.

  • Faites glisser la souris horizontalement jusqu'à l'autre extrémité de la plage à supprimer.

  • Une fois les valeurs aberrantes supprimées, les données du panneau Résultats seront automatiquement mises à jour.

Vous pouvez utiliser les boutons « Annuler » images/download/thumbnails/388694219/cvs_undo-version-1-modificationdate-1761826930914-api-v2.png et « Rétablir »images/download/thumbnails/388694219/cvs_redo-version-1-modificationdate-1761826930919-api-v2.png pour annuler et rétablir vos modifications. Le bouton « Rétablir » images/download/thumbnails/388694219/cvs_restore_button-version-1-modificationdate-1761826930891-api-v2.png annule toutes vos modifications et rétablit les données d'origine.

Cliquez sur le bouton Enregistrer images/download/thumbnails/388694219/cvs_save_button-version-1-modificationdate-1761826930894-api-v2.png dans la barre supérieure pour enregistrer les modifications apportées au document.

Curseurs graphiques

images/download/attachments/388694219/cvs_diameterChart_cineloopReview_gliffy_EN-version-1-modificationdate-1761826930900-api-v2.png

Le bouton Curseurimages/download/thumbnails/388694219/cvs_cursor_button-version-1-modificationdate-1761826930897-api-v2.png (1) active un curseur (2) sur le graphique du diamètre et de l'IMT, indiquant la position temporelle actuelle sur le graphique, conformément aux images affichées dans la fenêtre vidéo. La valeur du diamètre/IMT et la valeur temporelle sont affichées en (3). Lorsque le bouton Curseur est actif, il est également possible de connaître les coordonnées d'un point précis sur le graphique : en survolant le graphique, un second curseur (4) apparaît. Il suit les mouvements de la souris et la valeur du diamètre/IMT ainsi que la valeur temporelle sont affichées dans l'étiquette (5).

Fenêtre vidéo

La fenêtre vidéo affiche la vidéo analysée. Le bouton Agrandir images/download/thumbnails/388694219/cvs_enlarge_button-version-1-modificationdate-1761827804099-api-v2.png permet d'agrandir la fenêtre vidéo.

Panneau des résultats

images/download/attachments/388694219/CVS_CAR_StiffnessAndIMTResults_EN-version-1-modificationdate-1761832118956-api-v2.png

Le panneau affiche les résultats de l'analyse. Les données suivantes sont présentées :

  • IMT [mm] : Épaisseur de l'intima-média. Elle correspond à la valeur moyenne des données présentes dans le graphique IMT.

  • IMT min [mm] : Valeur minimale de l'épaisseur de l'intima-média. Elle est calculée à partir des données présentes dans le graphique IMT.

  • IMT max [mm] : Valeur maximale de l'épaisseur de l'intima-média. Elle est calculée à partir des données présentes dans le graphique IMT.

  • Écart type de l'épaisseur de l'intima-média [mm] : Écart type de l'épaisseur de l'intima-média. Il est calculé à partir des données présentes dans le graphique IMT.


  • Diamètre [mm] : valeur du diamètre moyen. Il est calculé comme la moyenne des diamètres mesurés dans le tableau des diamètres.

  • Diamètre systolique [mm] : valeur du diamètre en systole. Il est calculé comme la moyenne des diamètres systoliques mesurés dans le tableau des diamètres.

  • Diamètre diastolique [mm] : valeur du diamètre en diastole. Il est calculé comme la moyenne des diamètres diastoliques mesurés dans le tableau des diamètres.


  • Vitesse Doppler positive moyenne [cm/s] : moyenne des valeurs de vitesse Doppler positives. Elle est calculée sur l’ensemble de la séquence d’images analysée.

  • Vitesse Doppler négative moyenne [cm/s] : moyenne des valeurs de vitesse Doppler négatives. Elle est calculée sur l’ensemble de la séquence d’images analysée.

  • Vitesse Doppler maximale [cm/s] : valeur maximale de la vitesse Doppler. Elle est calculée en faisant la moyenne des valeurs maximales sur l’ensemble de la séquence d’images analysée.

  • Vitesse Doppler minimale [cm/s] : valeur minimale de la vitesse Doppler. Elle est calculée en faisant la moyenne des valeurs minimales sur l’ensemble de la séquence d’images analysée.

  • Vitesse Doppler positive minimale [cm/s] : valeur minimale de la vitesse Doppler positive. Elle est calculée en faisant la moyenne des valeurs minimales sur l’ensemble de la séquence d’images analysée.


  • Pression artérielle [mmHg] : pression diastolique et pression systolique.


  • Distension [mm] : variation de diamètre.
    images/download/thumbnails/388694219/CVS_Carotid_CineloopReview_Equation_Distension-version-1-modificationdate-1761828044397-api-v2.png


  • Compliance [10-6·m2·kPa-1] : changement absolu de la surface du lumen pour un changement de pression donné.

    images/download/thumbnails/388694219/CVS_Carotid_CineloopReview_Equation_Compliance-version-1-modificationdate-1761828044410-api-v2.png



  • Distensibilité [10⁻³·kPa⁻¹] : variation relative de la surface luminale pendant la systole pour une variation de pression donnée.

    images/download/thumbnails/388694219/CVS_Carotid_CineloopReview_Equation_Distensibility-version-1-modificationdate-1761828044417-api-v2.png



  • Rigidité carotidienne [m·s-1] : Valeur de rigidité calculée par l'équation de Bramwell-Hill.

    images/download/attachments/388694219/CVS_Carotid_CineloopReview_Equation_Stiffness-version-1-modificationdate-1761828044425-api-v2.png


  • Module d’élasticité de Young [kPa] :
    images/download/attachments/388694219/CVS_Carotid_CineloopReview_Equation_YoungMod-version-1-modificationdate-1761828044434-api-v2.png

Où :

De = Diamètre externe (entre les interfaces média-adventice) mesuré en diastole.

Di = Diamètre interne (entre les interfaces lumière-intima) mesuré en diastole.

Ds = Diamètre systolique (externe).

Dd = Diamètre diastolique (externe), Dd = De.

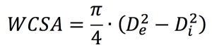
WCSA = Aire de la section transversale de la paroi.

images/download/thumbnails/388694219/CVS_Carotid_CineloopReview_Equation_WCSA-version-1-modificationdate-1761828044442-api-v2.png


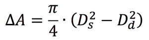
ΔA = Changement de la surface luminale lors de l'accident vasculaire cérébral.

images/download/thumbnails/388694219/CVS_Carotid_CineloopReview_Equation_DA-version-1-modificationdate-1761828044450-api-v2.png

Ad = Zone diastolique.

images/download/thumbnails/388694219/CVS_Carotid_CineloopReview_Equation_AD-version-1-modificationdate-1761828044459-api-v2.png

Ps = Pression systolique.

Pd = Pression diastolique.

ΔP = Ps - Pd

ρ = Densité sanguine : supposée constante et égale à 1,06 g/cm³.

  • Étalonnage en mode B [px/mm] : valeur de l’étalonnage en mode B.

  • Étalonnage Doppler X [px/s] : valeur de l’étalonnage Doppler X.

  • Étalonnage Doppler Y [px/cm/s] : valeur de l’étalonnage Doppler Y.